Projects
Everything I've built, from the early experiments to the stuff I'm shipping now.
A 3D graph visualization plugin for Obsidian that uses the Desmos 3D graphing library to render interactive 3D graphs of your notes. Supports custom styling, filtering, and more.

A streamer consolidation platform that lets content creators bring their communities together in one place. Streamers can gather audiences across platforms into a single shared experience.

Find My Force Hackathon
A defense technology hackathon hosted at UBC where we built ai signal processing tools to detect and classify RF signals.

The website for Coyote Cruises, a river tubing company I worked at for 5 years and became operations manager of. I built and managed the site end to end.

CLI Markdown Editor
A terminal based markdown editor built with a curses interface. Supporting live preview, I built this in Java for my introduction to software construction class.

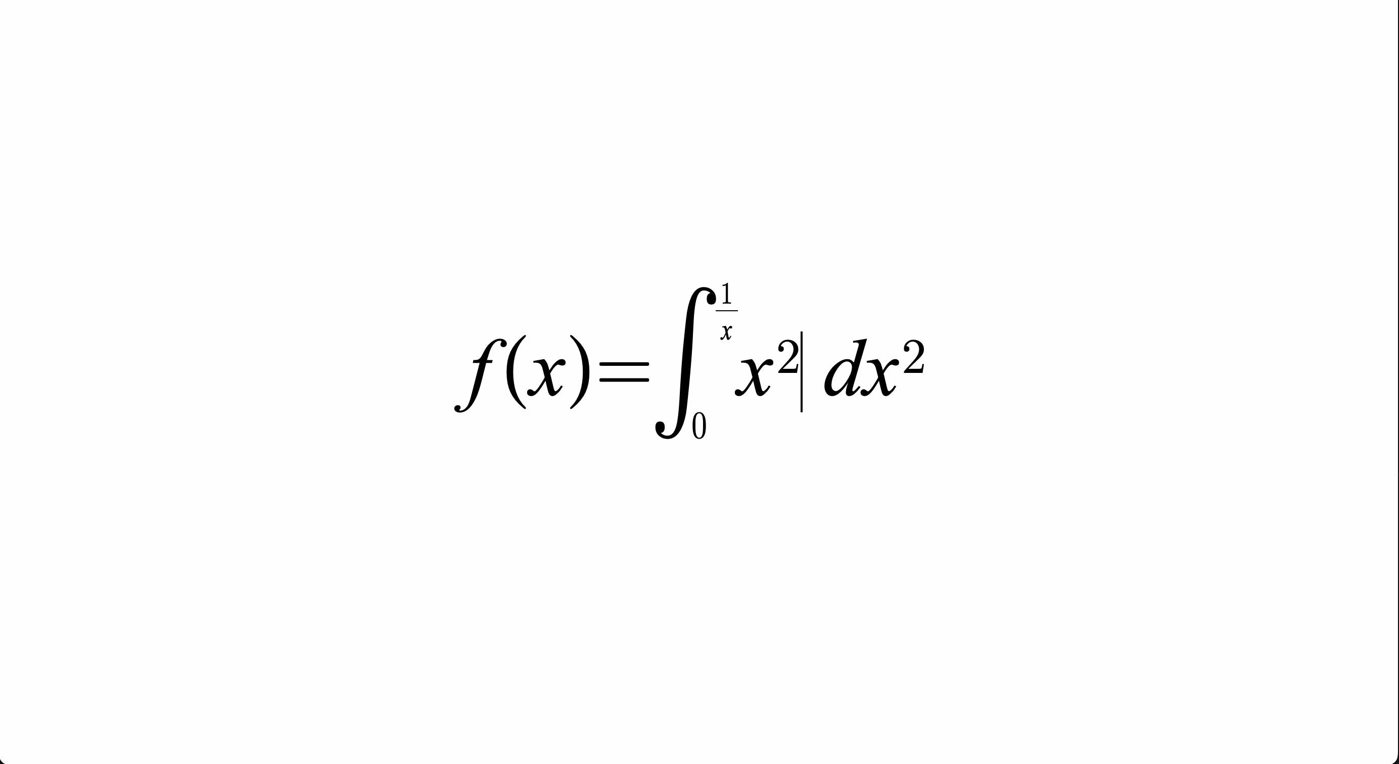
A math equation editor built to replace tools like MathQuill that are clunky and hard to use. Uses a custom rendering engine to allow for intuitive WYSIWYG editing of complex equations.

A WYSIWYG markdown editor built almost entirely from scratch with no editor libraries. Handles rich text, block-level editing, and keyboard shortcuts all through a custom rendering engine.

A markdown renderer built to handle the unique syntax and features of my Obsidian notes. Supports desmos graphing integration, custom note embedding, and more.

Better Live Stream Fails
A tiktok like website for browsing live stream clips. I built a web scraper to pull clips from reddit and a custom frontend to nicely preload and display the videos in a smooth infinite scroll.

Party Poppers
A NFT collection of algorithmically generated characters built using Candy Machine. I designed the traits, wrote the metadata generator.

A tool that takes Reddit comment threads and turns them into shareable videos. Supported auto uploading to Youtube and gathered over 500k views in total.

A tool that parses and displays British Columbia legislature data in a way that people can actually read. Built to make government more transparent and accessible.

Luck be a Landlord Clone
I rewrote the popular game Luck be a Landlord from scratch so that I could play it and modify it with my own features.

Upperworld.io
A browser-based multiplayer io game with custom networking, game loop, and real-time state sync. The project that taught me how to write maintainable code at scale.
